
Home=Aktuelle Kometen: C/2025 K1
| Die Fachgruppe
| Anleitungen
| Archiv
| Projekte+Publikationen
| Bilder
| Kontakt
Am 24. Mai 2025 entdeckte das ATLAS-Team ein 18.5m helles asteroidales Objekt im Sternbild Pegasus, das sich bei Nachfolgebeobachtungen als kometar herausstellte. Komet C/2025 K1 (ATLAS) wies eine hochverdichtete 15" große Koma sowie einen schwachen, 11" langen Schweif in PW=255° auf. Der Komet wird sein sonnennahes Perihel (Sonnendistanz: 0.33 AE) am 8. Oktober 2025 passieren und könnte dann 9.5m hell sein. Bereits am 13. August nähert er sich der Erde bis auf 0.58 AE und dürfte dann die 12. Größenklasse aufweisen. Allerdings liegt seine absolute Helligkeit deutlich unterhalb des Bortle-Limits, so dass die Wahrscheinlichkeit hoch ist, dass er sich auf seinem Weg zum Perihel auflöst (CBET 5557). Falls dies nicht der Fall sein sollte, würde er zwischen Juli 2025 und Mitte Januar 2026 heller als 16m sein und dabei der Erde am 25. November nochmals bis auf 0.40 AE nahekommen. In diesem Zeitraum bewegt er sich durch die Sternbilder Pegasus, Füchschen, Herkules (1. Erdnähe), Schlange, Waage, Jungfrau, Rabe (Perihel), Löwe, Großer Bär (2. Erdnähe), Giraffe, Kassiopeia und Andromeda. Von mitteleuropäischen Standorten aus kann er bis Ende August (dann 12.0m hell) am Abendhimmel verfolgt werden. Sollte er die Perihelpassage überstehen, wird er um den 20. Oktober (etwa 10.5m hell) wieder am Morgenhimmel auftauchen, rasch an Horizonthöhe gewinnen und letztlich an den Nachthimmel wechseln.
Der Komet zeigte eine sehr interessante Entwicklung. Überraschenderweise überstand er die große Sonnennähe, obwohl seine absolute Helligkeit unterhalb des Bortle-Limits lag. Anfang Juni gerade einmal 17.0m hell, verschwand er als etwa 10.0m helles Objekt um den 25. September vom Abendhimmel. Würde er nach dem Periheldurchgang noch beobachtbar sein? Ab dem 25. Oktober gelangen Beobachtungen am Morgenhimmel, die den Kometen - mit stark verdichteter Koma - 9.5m hell zeigten, so dass er visuell ein überraschend einfaches Objekt war.
In den folgenden Wochen entwickelte er sich zu einer Miniaturausgabe eines vollentwickelten Kometen mit einer kleinen Koma - mit deutlicher zentraler Verdichtung - und einem mehrere Bogenminuten langen Schweif recht hoher Flächenhelligkeit. Allerdings war diese hohe Aktivität mit seiner finalen Auflösung verbunden. Zum Monatswechsel Oktober/November konnte mit großen Instrumenten ein erstes Fragment festgestellt werden, und in der Folge vergrößerte sich deren Zahl. Das hellste (mit C bezeichnete) Fragment konnte in größeren Amateurteleskopen sogar visuell beobachtet werden. Das Besondere war, dass der Komet über viele Wochen hinweg große Horizonthöhen aufwies, so dass diese hochinteressante Entwicklung bequem beobachtet werden konnte.
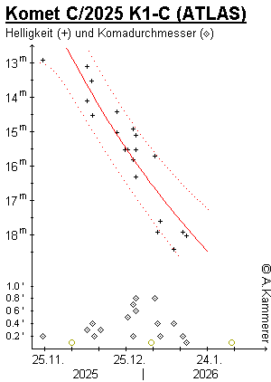
Auf der Basis von 434 Beobachtungen von 68 Beobachtern ergibt sich eine Helligkeitsentwicklung, die vor dem Perihel mit einer klassischen Formel, danach sinnvoll nur mit einer dt-Formel dargestellt werden kann, was typisch für einen in Auflösung befindlichen Kometen ist:
vor dem Perihel: m = 12.2m + 5×log D + 7.8×log rScheinbare Helligkeit und Komadurchmesser (Hauptkomponente)
Der scheinbare Komadurchmesser stieg von 0.4' zu Sichtbarkeitsbeginn bis Mitte August auf 1.6' an, um danach konstant auf zu bleiben. Nach dem Perihel vergrößerte sich der scheinbare Komadurchmesser von 2.5' Anfang November auf den Maximalwert von 3.5' Ende November 2025. Bis Mitte Januar 2026 war er auf nur noch 0.3' geschrumpft. Der absolute Komadurchmesser maß bis Mitte August recht konstant 35.000 km, dehnte sich dann aber bis Mitte September 2025 rasch auf 70.000 km aus. Nach dem Perihel schrumpfte der Komadurchmesser stetig. Maß er Anfang November 2025 noch 80.000 km waren es Mitte Januar 2026 nur noch 20.000 km. Die Koma zeigte sich meist merklich verdichtet. Vor dem Periheldurchgang lag der Koma-Kondensationsgrad recht konstant bei DC 4. In den ersten Wochen nach dem Perihel zeigte sich die Koma deutlich verdichtet (DC 5-6), wurde aber ab Ende November 2025 rasch diffuser; Anfang Januar 2026 wurde der Kondensationsgrad auf nur noch DC 0-1 geschätzt.Ein Schweif konnte vor dem Perihel auf den CCD-Aufnahmen meist festgestellt werden. Dieser erreichte Mitte August eine Länge von 12'. Nach dem Perihel erreichte die Länge des auch visuell gut erkennbaren Schweifs Mitte November 2025 eine maximale Länge von 0.6° (850.000 km). War der Schweif zu Sichtbarkeitsbeginn nach WSW gerichtet, rotierte er zwischen Ende Juli und Mitte August rasch über Süd nach Ost. Nach dem Perihel war der Schweif zunächst nach WNW gerichtet, drehte aber zwischen Ende November und Anfang Dezember rasch auf Ost und schließlich auf ONO.
FG-Beobachtungen (Hauptkomponente)
Beobachtungen mit dem Hubble Space Telescope zeigten in der Nacht 31.10./1.11. einen Helligkeitsanstieg der kernnahen Region um 0.3m und am 4. November von 0.9m. Letzterer ist bei den gleitenden gewichteten 3-Tages-Mitteln der Gesamthelligkeit angedeutet (Amplitude etwa 0.5m). Eine Aufnahme vom 8. November zeigte als Folge dieses kurzfristigen Aktivitätsanstiegs 4 Fragmente in PW=197°, wobei die beiden hellsten einen gegenseitigen Abstand von 3.6" aufwiesen und parabolische Komae zeigten. Die anderen beiden Fragmente waren in größerer Distanz zum Kern und ziemlich diffus (ATel 17482 und 17488). Mit erdgebundenen Teleskopen konnten Mitte November drei Fragmente verfolgt werden, wobei die beiden hellsten auch visuell erkennbar waren.
Beobachtungen mit dem Gemini Nord Teleskop zeigten am 11. November drei Fragmente, die in PW=290° aufgereiht waren; das westliche befand sich 5", das östliche (schwächste) 2" vom hellsten mittleren Fragment entfernt. Die zwei hellsten Fragmente wiesen jeweils Komae und Schweife auf. Am 16. November zeigten sich (in PW=285° aufgereiht) drei etwa gleich helle Fragmente, die alle Komae und Schweife aufwiesen, und ein schwaches viertes Fragment. Die Abstände vom östlichen (das wohl das hellste vom 11. November war) betrugen 6.0" und 13.4", das vierte, schwache hatte einen Abstand von 1.0" vom zentralen Fragment. Das östliche Fragment war deutlich elongiert; ein Hinweis auf eine fortschreitende Fragmentierung (ATel 17501). Am 6. Dezember wurde ein kurzlebiges Fragment E entdeckt (ATel 17570).
Gemäß Nick James löste sich das Fragment B am 12. November von der Hauptkomponente A. Fragment C erschien schweifwärts von A um den 15. November. Fragment B löste sich um den 23. November auf. Bis zum 26. November war C nahezu verschwunden, dafür erschien das Fragment D zwischen A und C. Bis zum 30. November war D das hellste Fragment geworden. Am 3. Dezember waren A und C ähnlich hell, D war das hellste Fragment. Danach wurde D schwächer und C heller; am 5. Dezember war C das hellste Fragment. Am 8. Dezember war D nahezu verschwunden, C war das hellste Fragment und A wurde schwächer (Comet's Mailing List).
Am Abend des 23.8.2025 konnte Andreas Kammerer den Kometen im 39.7L, 62x sofort als schwaches, kleines, zur Mitte hin mäßig verdichtetes Objekt mit recht großer Eigenbewegung erkennen. Am 24.8. zeigte er sich im 39.7L, 62x erneut als schwaches, kleines, zur Mitte hin mäßig verdichtetes Objekt; bei 181x konnte er die Helligkeit des stellaren false nucleus zu 14.0m bestimmen. Gerhard Scheerle störte am 25.8. bei der Beobachtung im 23.5T ein nahebei stehender 11.0m heller Stern.
Am Morgen des 4.11. zeigte sich der Komet Andreas Kammerer im 39.7L, 62x als überraschend einfaches Objekt dank einer stark verdichteten, kleinen Koma mit zentraler Verdichtung; zudem war der Schweif recht gut erkennbar; bei 181x bestimmte er die Helligkeit des stellaren false nucleus zu 11.5m. Am 12.11. beobachtete er trotz aufgehellten Hintergrunds im 39.7L, 62x ein einfaches Objekt aufgrund der kleinen, hochverdichteten Koma mit auffälliger zentraler Verdichtung; der Schweif war gut erkennbar; bei 181x schätzte er die Helligkeit des stellaren false nucleus auf 12.0m; bis 361x konnte er keine Fragmente ausmachen. Am 19.11. bot sich Andreas Kammerer im 39.7L, 62x ein toller Anblick: der Komet präsentierte sich als Miniaturausgabe eines vollentwickelten Kometen mit einer kleinen Koma mit deutlicher zentraler Verdichtung und einem sehr gut erkennbaren Schweif, der mit zunehmender Distanz vom Kern breiter wurde; bei 181x zeigte sich eine sehr elliptische zentrale Kondensation, deren Längsachse etwas gegen die Schweifrichtung geneigt war (PW etwa 280°); blickweise konnte schweifwärts eine zweite, merklich schwächere Kondensation ausgemacht werden. Am 22.11. beobachtete Gerhard Scheerle unter einem recht bewölkten Himmel einen fragmentierten Kern; die Koma war elongiert (3 x 1'). Andreas Kammerer beobachtete im 39.7L, 62x erneut die Miniaturausgabe eines vollentwickelten Kometen: winzige Koma mit deutlicher zentraler Kondensation und sehr gut erkennbarem Schweif, der mit zunehmender Kerndistanz breiter wurde; bei 181x schätzte er die Helligkeit der stellaren zentralen Kondensation auf 12.0m; blickweise konnte schweifwärts, etwas versetzt zur Schweifachse, eine zweite, merklich schwächere Kondensation ausgemacht werden.
Am Abend des 9.12. konnte Andreas Kammerer den Kometen erst ab 131x erkennen; er zeigte sich als sehr längliches Objekt geringer Flächenhelligkeit mit leicht hellerer Spitze; bis 271x konnte er keinen false nucleus sicher ausmachen. Am 28.12. beobachtete Gerhard Scheerle im 23.5T, 181x einen 13.0m hellen Stern genau im Zentrum der Koma. Am 20.01.2026 schätzte er die Helligkeit des Kometen im 23.5T, 181x genauso hell ein wie einen Feldstern der Helligkeit 14.6m.
Auf der Basis von 23 Beobachtungen von 10 Beobachtern des Fragments C ergibt sich dessen Helligkeitsentwicklung gemäß der Formel
m = 11.2m + 5×log D + 0.053×|t - T|,Scheinbare Helligkeit und Komadurchmesser des Fragments C
Andreas Kammerer