Auswertungen abgeschlossener Kometensichtbarkeiten

10P/Tempel 2

1999


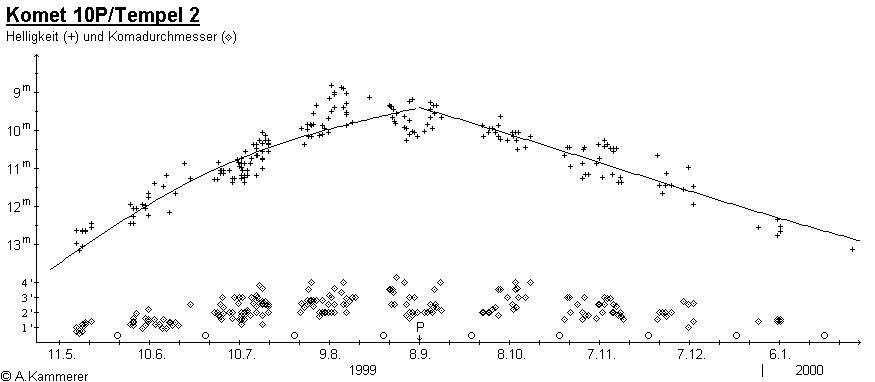
Der FGK-Projektkomet 1999, 10P/Tempel 2, blieb leider erkennbar hinter den Erwartungen zurück, so daß er aufgrund seiner südlichen Deklinationen schwer beobachtbar war, was sich auch in den lediglich 28 bis Anfang Februar 2000 zugesandten Beobachtungen von 6 FG-Beobachtern widerspiegelt. Die Hinzunahme von 215 internationalen Beobachtungen gestattet aber recht sichere Aussagen. Der Komet blieb insgesamt ein schwieriges Objekt, da sich seine Koma parallel zur Helligkeitszunahme ausdehnte, so daß die Flächenhelligkeit stets sehr gering blieb. Lediglich die zentrale Kondensation konnte in einem 30cm-Teleskop recht gut gesehen werden. Aus diesem Grund wurde für die Bestimmung der Helligkeitsparameter auch eine Aperturkorrektur an die Schätzungen angebracht.

Die Helligkeitsentwicklung zeigt die bekannte Unterschiedung in eine steile Anstiegs- und eine flache Abstiegsphase, die bei dieser Sichtbarkeit symmetrisch zum Perihel lagen. Desweiteren zeigt der Komet den altbekannten zeitabhängigen Term:

vor dem Perihel: m = 9.8m + 5×log D + 0.031×|t-T|

nach dem Perihel: m = 9.8m + 5×log D + 0.008×|t-T|

Dies ergibt eine maximale Helligkeit von 9.4m um das Perihel. Der scheinbare Komadurchmesser lag anfangs bei 1', stieg bis zum Perihel auf etwa 3.5' und ist bis Anfang Januar wieder auf 1.5' zurückgegangen. Hingegen stieg der absolute Komadurchmesser lange Zeit stetig, in den letzten Wochen dann aber immer mehr abflachend von 45.000 km auf letztlich 160.000 km an. Die Koma war gering bis mäßig kondensiert, der Konzentrationsgrad der Koma scheint leicht von DC 3-4 zu Beginn auf DC 2-3 abgefallen zu sein.

Helligkeit und scheinbarer Komadurchmesser

CCD-Aufnahmen vom 13.11. mit dem 2.3m-Reflektor des Stewart Observatoriums zeigen bei Anwendung eines radialen Gradientenfilters schwache aber eindeutige parabelförmige Strukturen in der Koma des Kometen, die an Enveloppen erinnern. Diese können sonnenwärts bis zu einem Abstand von 30" vom Kern nachgewiesen werden, senkrecht dazu erreicht der Abstand der beiden Parabeläste 2.5'. Während der 1.5-stündigen Beobachtung waren keine Veränderungen feststellbar (IAUC 7313).

Werner Hasubick hat am 24./25.5. kein Glück bei seiner Suche mit dem 44cm-Reflektor; er schätzt den Kometen daher auf schwächer als 13.0m. Fotografisch konnte Michael Jäger den Kometen am 3.6. (13.2m), 5.6. (13.0m) und am 9.6. (12.8m) beobachten; dabei wies er jeweils eine 2' große, sehr diffuse Koma mit einer 13m schwachen, 20" kleinen zentralen Kondensation auf. Am 3./4.6. steht der Komet bei Maik Meyers Beobachtung nahe eines 13m hellen Sterns. Walter Kutschera meldet für den 11./12.6. eine deutliche Kernkondensation sowie eine leicht strukturierte Koma; alles in allem nennt er ihn noch immer ein kompaktes Objekt. Andreas Kammerer kann den Kometen am 16./17.7. als sehr schwaches, diffuses Objekt, welches leicht verdichtet erschien, in seinem 30cm-Cassegrain ausfindig machen. In der folgenden Nacht, 17./18.7., meldet er einen sehr schwachen, zur Mitte hin leicht konzentrierten Nebelfleck. Michael Jäger fotografierte den Kometen in der gleichen Nacht als 5' großes Objekt mit einer in nord-südlicher Richtung elongierten äußeren Koma; die Helligkeit schätzte er auf 11.3m. Walter Kutschera beschreibt eine gut kondensierte Koma konstanter Fächenhelligkeit. Andreas Kammerer bemerkt den Kometen am 7./8.8. zunächst bei 75x nicht, bei 115x kann er ihn dann aber als 0.2' große Verdichtung sicher erkennen, woraufhin er bei 75x ein extrem diffuses Objekt an der Sichtbarkeitsgrenze ausmacht. Michael Jäger bestimmte die Helligkeit des Kometen auf einer Aufnahme vom 29.11. zu 11.3m; der Komet zeigte eine 3' große Koma mit einer hellen zentralen Kondensation. Am 5.1.2000 war er fotografisch 12.8m hell und wies eine 1.5' große, elongierte Koma mit einer zentralen Kondensation auf.

Andreas Kammerer

FG-Beobachtungen


Zurück...