Euer Maik Meyer.
Als am 24.05.2017 die Entdeckungszirkulare des Kometen
C/2019 K2 (PANSTARRS) veröffentlicht wurden, war das einzig Beeindruckende, dass
der Komet offensichtlich in ca. 20 AE Entfernung von der Sonne entdeckt worden
war und das sein Perihel erst 10 Jahre später erfolgen sollte – allerdings in
einem respektablen Abstand von ca. 10 AE. Später wurden tatsächlich noch
Pre-Discovery-beobachtungen gefunden, die bis zum 12.05.2013 zurückgehen [4]!
Der Komet befand sich damals in einer Entfernung von 23.7 AE mit einer
Helligkeit von sportlichen 23.1 mag. Die alle interessierende Frage ist
natürlich: Wie hell wird der Komet?
Verschiedene Autoren mit der Frage beschäftigt, ober der
Komet dynamisch alt oder neu ist. Der Konsens der Analysen weist dabei auf einen
dynamisch „alten“ Kometen hin. Somit wird der C/2017 K2 mit hoher
Wahrscheinlichkeit eine kontinuierliche Helligkeitsentwicklung und einen
normalen Aktivitätsfaktor zeigen (n=4).
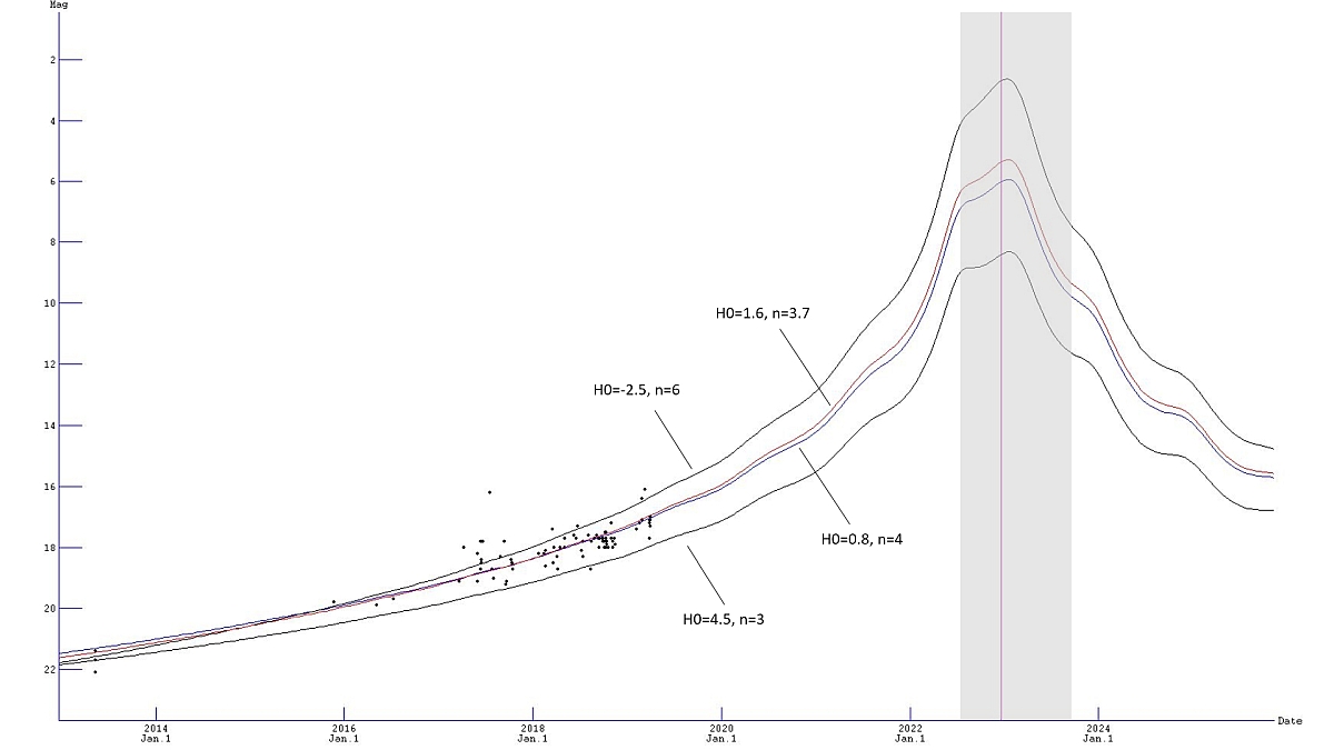
Die Lichtkurve in enthält die oben erwähnten
Helligkeitsmessungen bis etwa Anfang April 2019. Die blaue Lichtkurve ist der
mathematische Bestfit, welcher die Beobachtungen am besten darstellt. Die
magentafarbende Lichtkurve basiert auf einem auf n=4 fixierten Aktivitätsfaktor.
Der Unterschied zwischen beiden Kurven ist relativ gering und beträgt im Perihel
etwa 1 mag. Auffällig ist bei beiden Kurven die hohe absolute Helligkeit H0 von
0,8 bzw. 1,6 mag. Die beiden roten Kurven geben die Lichtkurven für einen hohen
und einen niedrigen Aktivitätsfaktor an. Der hohe Aktivitätsfaktor wäre sehr
ungewöhnlich und ist eher typisch für kurzperiodische Kometen. Der niedrige
Aktivitätsfaktor ist eher repräsentativ für dynamisch neue Kometen. Sollte die
Einschätzung richtig sein, dass der Komet dynamisch alt ist, wäre dies eher als
Untergrenze zu sehen.












